| 
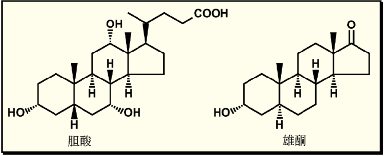
除了甘油三酸酯和磷酸酯外,甾族化合物在脂质类化合物中也占有重要的一席。甾族化合物有一个特征化的结构——起源于环戊烷并全氢菲(左上角)的四环系统。
A环和B环之间的连接可以在顺式(中间)和反式(右侧)的构型中出现。 顺式甾族化合物的一个例子是胆汁酸,而反式甾族化合物的例子则是雄酮。
|
|

一种对健康很重要的甾族化合物是胆固醇(图示中下面的一幅图)。它对膜结构起着重要的作用,但同样也是造成心脏和动脉疾病的原因。它是一种具有刚性、平整结构的亲水亲油两性的甾族化合物。

胆固醇羟基基团(极性头部)使得它在膜内部能定向地指向水相,而环骨架(非极性尾部)则定向指向脂肪酸的尾部(见CG 06图示)。
|