| 
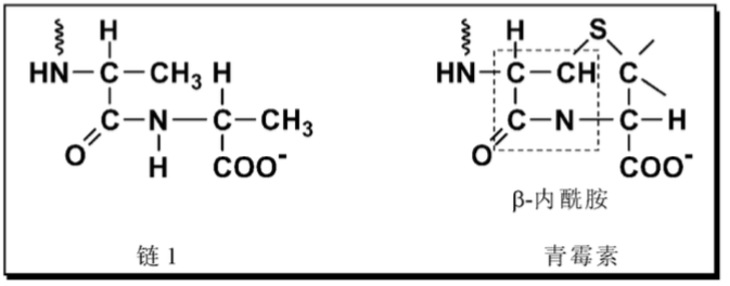
青霉素是苏格兰细菌学家弗莱明于1928年发现的。青霉素家族的抗生素可以影响某些细菌细胞壁的生物合成。
在生物合成中,细胞壁的肽聚糖的两条多肽链通过一个肽键结合在一起。这种结合是在转肽酶的催化下实现的。青霉素能够不可逆地抑制这种酶,因此来阻碍反应。
|
|
在通常情况下(左图),酶与链1(图中的红色)的一个氨基键合形成一个肽键,同时末端的丙氨酸脱落。然后,链2(图中的绿色)与链1再形成一个肽,而酶脱落下来(2x转肽酶反应)。
青霉素(右图)很类似链1(-内酰胺结构)末端的丙氨酸,在其结构中酶与青霉素键合。这样,酶就受到了阻碍,在细胞壁的合成中不能再起催化作用。

|